高考临近结束,考生及家长应该把择校选专业提上日程,那么,孩子大学能报哪些专业?这些专业就业方向如何?
近日,教育部发布《关于公布2022年度普通高等学校本科专业备案和审批结果的通知》,本次备案、审批和调整的专业,将列入相关高校2023年本科招生计划。同时,《普通高等学校本科专业目录》也进行了更新,新增了地球系统科学、生物统计学、未来机器人、安全生产监管、国家公园建设与管理、医工学、乡村治理、家庭教育、无障碍管理等21种新专业。
截至目前,本科专业目录共包含93个专业类、792种专业。今天,自主选拔在线带大家一起来了解12大学科门类的792个专业汇总,高三选择目标专业必备,赶快收藏查看!
哲学类下设哲学、逻辑学、宗教学、伦理学等几个专业。

哲学是一门研究人生终极意义和宇宙万物本源的学科,强调批判性思维和理性思考能力的培养。哲学是公认的就业困难的专业,造成这一现象的根本原因在于哲学的本科教育与行业体系难以衔接,没有直接对口的就业岗位。
(1)教育科研单位:如到高校、研究所、政策研究机构做研究,一般需要继续深造;或者到中小学、培训机构当老师,在校期间最好能考下教师资格证。(2)政府机关:哲学专业毕业生思考问题的独特性和深刻性还是很受相关政府机关欢迎的,通过考公务员可以进入各级政府机关(如党校、宣传部、组织部、政府办等)工作。(3)新闻出版单位:新闻出版需要有广博的知识储备、优良的文笔和口才,哲学专业的学生常常能够从独特的思考角度切入事件进行写作,所以也很受新闻出版单位的欢迎。(4)企业:可以在大中型企业从事行政、党建、企划、文案、人力资源、秘书、管理等工作
经济学门类下有经济学、财政学、金融学、经济与贸易等几类。热门专业包括:经济学、金融学、金融工程、国际经济与贸易等。
本次高校本科专业目录增加了:金融审计专业。


经济学专业的就业方向主要是政府经济管理部门、政策研究部门、金融机构和大中型企业的经济分析和规划部门。金融学和金融工程专业毕业生主要就业去向是各金融监管部门(中国人民银行、银监会、保监会、证监会)和银行、证券、保险、基金等金融机构。金融工程相关岗位更侧重利用计算机工具建模来做金融产品的量化分析,需要毕业生有较好的数学基础。国际经济与贸易专业的学生毕业后可在涉外经济贸易部门及外贸企业的经营与管理岗位就业,如从事跟单员、国际货物运输代理、报关员,及其他相关业务或管理工作。
法学门类下有法学、政治学、社会学、民族学、马克思主义理论、公安学等几类。
本次高校本科专业目录增加了:国际法、司法鉴定学、工会学。


(1)近年来公务员招录人数较多,因为执法、法务岗位需求较多,也可通过公务员考试进入公安、检察院、法院工作;政治学和社会学专业毕业生可以到党政机关、社会团体、新闻出版机构、教育及其他企事业单位从事相关业务或管理工作。民族学专业毕业生可以到党政部门特别是民族宗教事务管理机构及相关教育科研部门工作,也可以到企事业单位、新闻出版机构从事行政、编辑、文秘、文化交流、文教宣传等工作。马克思主义理论专业培养具有马克思主义理论素养,具有科学社会主义和国际共产主义运动知识的专门人才,学生毕业后可以在党政机关、外事部门、高等院校从事理论宣传、教学研究等工作。公安学专业毕业生的就业方向比较明确,他们毕业后可以进入公安机关、检察院、法院、司法局工作。
教育学门类下设教育学类、体育学类2大类。
本次高校本科专业目录增加了:家庭教育、孤独症儿童教育。

教育学类专业包括:教育学、科学教育、人文教育、教育技术学、艺术教育、学前教育、小学教育、特殊教育、华文教育等。其毕业生可以到学校及教育部门从事教学和管理工作。体育学类专业包括:体育教育、运动训练、社会体育指导与管理、武术与民族传统体育、运动人体科学、运动康复、休闲体育等。其毕业生可以到各级体委、体育研究机构及学校从事运动训练、裁判、教学、科研和管理等工作。文学门类下有中国语言文学、外国语言文学、新闻传播学等几类。
本次高校本科专业目录增加了:数字人文。




中国语言文学类专业包括:汉语言文学、汉语言、汉语国际教育、中国少数民族语言文学、古典文献学、应用语言学、秘书学等。毕业生可以到国家机关、企事业单位、大中学校和宣传出版机构从事文秘、宣传和编辑等工作。
外国语言文学类专业包括多个小语种专业及翻译、商务英语等专业,学生毕业后可以到外企、企事业单位、教育、文化、对外贸易等部门从事翻译、管理和经营等工作。
新闻传播学类有新闻学、广播电视学、广告学、传播学、编辑出版学、网络与新媒体、数字出版等专业,其毕业生可以到新闻、宣传出版单位(如报社、杂志社、电台、电视台、网络新媒体等)从事新闻报道、编辑策划、教学科研等工作。
近年来,公务员岗位需求也较多。
历史学类下设历史学、世界史、考古学、文物与博物馆学、文物保护技术、外国语言与外国历史等几个专业。

历史学是一门基础学科,与专业直接对口的岗位相对较少,其毕业生可以选择进入高等院校和科研机构从事教学和研究,也可以进入各级党政机关、教育单位、新闻出版和文化事业等部门从事管理和专业工作。
世界史专业毕业生可以选择从事外文翻译、中小学教学和研究、政府部门外事办等工作。
考古学、文物与博物馆学、文物保护技术可以从事考古勘探,文物鉴定,博物馆管理等工作。
总的来说,历史学类专业属于就业冷门专业,社会能提供的对口就业岗位相对较少,工资待遇也相对较低。
理学是研究自然物质运动基本规律的科学,理学专业注重理论研究,其培养目标是科学家。
理学门类下设数学、物理学、化学、天文学、地理科学、大气科学、海洋科学、地球物理学、地质学、生物科学、心理学、统计学等几类。
本次高校本科专业目录增加了:资源化学、地球系统科学、数据科学、生物统计学。


理学专业毕业生的去向主要有以下几个:
(1)科研机构:进入专业对口的研究机构、高等学校从事基础理论及应用研究,继续深造后更有优势。
(2)学校和教育机构:考取教师资格证,进入中小学或培训机构当老师。
(3)政府机关:通过公务员考试,进入专业相关的政府部门从事研究、管理等工作。
(4)考研:可以跨专业考研,学习另外实用性更强的专业,为将来就业开辟新路。理科学生理论基础扎实,很受其他专业的欢迎,跨专业考研比较容易。
工学专业的培养目标是培养能在相应的工程领域从事规划、勘探、设计、施工和管理等方面工作的高级工程技术人才。工学注重实际应用,强调将理论转化为实践,更加需要动手能力。
本次高校本科专业目录增加了:生物材料、电动载运工程、飞行器运维工程、安全生产监管、未来机器人。







工学类专业是12个学科门类中最大的一个专业类,涉及到国民经济建设的各个领域。工学类专业种类繁多,各类专业都有对口的就业行业。
总体来说工科专业是相对好就业的专业,其毕业生可以到对口行业的企事业单位、研究机构从事专业相关的研究、设计、技术开发、生产、制造等工作。农学门类下有植物生产、自然保护与环境生态、动物生产、动物医学、林学、水产、草学等几类。
本次高校本科专业目录增加了:国家公园建设与管理。


植物生产类专业毕业生可以到农业、园林及植物研究所等单位从事科研、生产及管理等工作。
自然保护与环境生态专业毕业生大多从事水土保持、沙漠治理、野生动物及自然保护区等方面的工作。
动物生产类专业学生可以在与动物科学相关领域和部门从事技术与设计、推广与开发、经营与管理、教学与科研等工作。
动物医学类专业毕业生可以选择到各级兽医防治、科研、生产和管理部门及动物检疫站、商品检验局、生物药品制造及动物食品加工单位工作。
林学专业毕业生主要面向林业基层单位,如国家森林公园、自然保护区等,从事育苗、造林、森林管护、病虫害综合治理、森林资源调查与管理、城乡绿化、林区多种经营、林业技术推广等工作。
草学专业毕业生可在园林、水土保持、环保、人工草场、体育场等部门从事各种类型草坪的建植与管理工作。
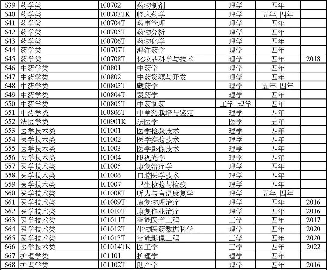
医学门类下有基础医学、临床医学、口腔医学、公共卫生与预防医学、中医学、中西医结合、药学、中药学、法医学、医学技术、护理学等十几类专业。
本次高校本科专业目录增加了:医工学。


工学类专业是12个学科门类中最大的一个专业类,涉及到国民经济建设的各个领域。工学类专业种类繁多,各类专业都有对口的就业行业。
总体来说工科专业是相对好就业的专业,其毕业生可以到对口行业的企事业单位、研究机构从事专业相关的研究、设计、技术开发、生产、制造等工作。
管理学门类下有管理科学与工程、工商管理、农业经济管理、公共管理、图书情报与档案管理、物流管理与工程、工业工程、电子商务、旅游管理等9类。
本次高校本科专业目录增加了:乡村治理、航空安防管理、无障碍管理。



管理学类专业毕业生主要是在事业单位、政府部门从事各类管理、经营、咨询服务等工作。
管理学类专业也是12个学科门类中较大的一个专业类,有很多分支,每个分支专业的就业领域差异较大。
其中有些专业的就业情况比较理想,如工商管理里面的会计学、财务管理、审计学、人力资源管理等专业。有些专业的就业情况就不是很理想,比如信息管理与信息系统、农林经济管理、档案学等。
管理是一门实践性学科,只有在经历长期的基层历练、积累一定的经验之后才能真正走上管理岗位。
管理学类专业毕业生进入工作单位后切记不能“好高骛远”,而是要脚踏实地、扎根基层,不断提升自己的软实力,只有这样才有可能成为出色的管理人才。
艺术学门类下有艺术学理论、音乐与舞蹈学、戏剧与影视学、美术学、设计学等几类。


艺术学理论专业毕业生可在学校、各级文化部门、美术馆、博物院、网络媒体、出版社、影视等企事业单位从事与艺术教育、艺术研究等相关的工作。还可以从事文化挖掘、活动策划、文化娱乐、旅游体育等相关的工作。
音乐与舞蹈学、戏剧与影视学专业性很强,学生毕业后可以到各种文化、电视、电影、广播、宣传、文艺团体和部门从事专业相关的工作。
2023-04-22 12:49
近日,2023年发布了普通高等学校本科新增专业和撤销专业名单。
其中:新增1641个专业点、撤销925个专业点,调整学位授予门类或修业年限专业62个,21种新专业被列入《普通高等学校本科专业目录》。

从下表中,我们可以看到新专业中,开设高校最多的是生物统计学,有中国医科大学、南京医科大学、广东医科大学、南方医科大学和海南医学院。另一开设较多的专业是数据科学,有北京交通大学和福建师范大学2所高校。
未来是大数据的时代,一个新增专业的到来,说明这些专业对口工作从业人员紧缺。社会需求量大,往往该专业毕业生就会成为“抢手货”。
新增具体名单如下

同时2023年也官宣了以下专业进行撤销!
本年度各高校调整学位授予门类或修业年限专业62个,撤销专业925个。
2023年度撤销本科专业名单统计

在2023年度被撤销的本科专业名单中,信息管理与信息系统专业被27所高校撤销,是被撤销数量最多的专业。其次是公共事业管理专业,被23所高校撤销。
近日,有媒体统计,2015至2021年7年间,共有90所大学撤销了公共事业管理专业。如果再加上今年撤销公共事业管理专业的23所大学,已经有超过100所大学撤销了这一专业。
在本世纪以来的高等教育大扩张中,管理类专业几乎是野蛮生长,这个被社交媒体吐槽的最难就业的专业,在近年13个大类的招生中,管理类招生量位居第二。
为何会出现这种需求和供给的极度错配?中国的大学到底需要什么样的学科设置?应该培养什么样的人才?
实际上,中国的高校每年都在撤销和新增专业。
根据日前教育部公布的最新一期学科专业变动的名单,2022年度新增本科专业1817个,撤销925个。尤其今年4月4日,教育部会同发改委等五部门发布了《普通高等教育学科专业设置调整优化改革方案》,方案明确提出,到2025年,要优化调整高校20%左右的学科专业布点,新设一批适应新技术、新产业、新业态、新模式的学科专业,淘汰不适应经济社会发展的学科专业。
因此,今年的专业调整名单备受各界关注:新增了哪些专业,又淘汰了哪些?与20%的远期目标相比,完成了多少?
今年有77所高校设立数字经济专业,是新增最多的;其次是人工智能,达到了59所。
撤销最多的是信息管理与信息系统,达到27所,其次是公共事业管理,达到23所。
这与近年的大趋势相似。2021年同样新增1961个专业点、撤销804个专业点。撤销最多的也是信息管理与信息系统、公共事业管理两个专业,分别达到33所、31所高校。增设最多的还是新工科、新社科等,其中工科占比45%,今年工科类则超过了50%。
近年高校撤销的专业中,公共事业管理遥遥“领先”,已经有超过100所高校撤销了这个专业,成为学科专业设置改革上一个焦点和代表。
长久以来,公共事业管理属于典型的投入少、容易开办的专业,这也与以大扩招为代表的高等教育规模扩张的大背景相关。
中国高等教育在过去20多年的发展历程中获得了长足的进步,为这一时期中国社会经济的高速发展提供了重要的人才支撑。但不能否认,快速发展的同时也出现了一些问题。
1999年的大扩招,标志着中国高等教育进入规模扩张时期,高校总量从1000所左右增长至目前的2760所。一方面招生人数在快速增长,一方面高校纷纷走向综合定位,什么学科专业都敢办,专业设置差异化减小,出现了“千校一面”的盛况。高校忙于“卖”文凭,忘记了真实的社会需求。在近年13个大类的招生中,管理与艺术类招生量位居第二第三,仅次于工科。
而这两个专业恰恰是近10年来,就业最困难的专业之一。
2023年高校毕业生达到了1158万,中国的就业问题已经变成了大学生的就业问题。虽然解决大学生就业问题,根本还在于发展经济,解决需求问题。但从人才的供给方,我们也必须深刻检讨人才培养的质量问题,首当其冲的就是人才供给的结构性矛盾问题,即人才与需求之间的错配。
为什么最难就业的两个专业招生量如此之大?开办成本低、收费高是一个重要的原因。
因为开办成本低,人文社科专业遍地开花,管理、法律就是代表性的专业。因为收费高,大量考生也想利用文化课成绩要求低的“旁门”,于是艺术专业购销两旺,遍地开花。甚至很多行业院校也热衷开办播音主持等艺术专业,比如某农业211高校就有4个艺术专业。这些艺术专业的同学最后一个主要的去处就是进校外培训班,培训更多的艺考生,艺术专业形成了一个奇特的循环。
显然,在学科专业的设置上,我们一些高校并没有真正面对社会需求,而是陷入了学校自循环的小圈子,本质上更接近于“卖文凭”,而不是真正的社会需要,因此很多学校热衷的是升格,升本。10余年来,高校大办人文社科与艺术,社会需求更大的理工科专业占比一度明显下滑,是我们需要深刻反省的。
在就业等多种因素影响下,近年考研日趋出现了“高考化”倾向,报名人数在高位上高增长。仔细分析就会发现,增长最多的考生专业类别,大部分都是人文社科专业。
我查询了十余个著名高校公布的报名人数前10名的专业,70%都是人文社科,工商管理是遥遥领先的第一名;从报考录取比上看,人文社科往往都是几十个人报考录取一个,理工科往往是几个人报考录取一个,从一个侧面反映了文科专业就业难的现状,这无关重视还是轻视人文社科的问题,而是一个现实的社会需求问题。
艺术专业也类似。前两年,教育部就明确要求对艺术类专业加大调控力度,明确要求高校申请增设艺术类专业,应符合办学定位,并已列入正式发布的学校事业发展规划,同时,将新增列入目录的部分艺术类专业纳入国家控制布点专业进行管理。而招生上,2021年艺考新政则进一步压缩了高校的自由裁量权,提高了高考文化课成绩的要求,以遏制艺术类专业的野蛮生长。
社会上热衷什么就设置什么,罔顾科学性与自身定位的学科专业设置也是我们需要警惕的。
比如我们今年新增最多的数字经济专业和人工智能专业。
人工智能当然很重要,但坦率地讲,并非所有高校都有能力设置。一方面人工智能是一个典型的交叉学科,开办要求很高,另一方面,对学生的学习基础与能力要求也很高,尤其是数学,不是普通学生学得了的。
此外,一些社会上流行的概念,往往只是一个市场噱头,缺乏基本的知识与理论体系,无法支撑起一个学科专业,是无法当成专业办的,一些高职类学校把这类当成一个技能培养就算了,但著名大学纷纷跟进,就显得荒唐了,元宇宙专业也是这其中最新的一个案例。
所以看到今年如此之多的数字经济专业和人工智能专业时,我也不由得担心,是不是有一些学校就是这种做法?纵观这些年学科设置的撤销与增设,普通地方高校变动频率明显高于著名高校,一个原因恐怕也在于此。
学科专业设置是高校人才培养的“核心支柱”和关键抓手,直接影响人才培养的质量与成效。在这次学科专业设置改革的文件中强调,出发点就是高校如何为国家的高质量发展服务,强调“四个面向”。
在我看来,最本质的要求有两点,一是面向社会发展的实际需要,面向迅速变革的新技术新产业新业态,为其提供合格的劳动者;二是面向国家发展的战略需求,即为实现高水平科技自立自强提供人才支撑。
此次《改革方案》提出“一校一案”,不搞一刀切,本质就是要求学校根据国家和社会发展的需求,对自己有清晰的定位,这也是本次学科专业设置改革的一个重要出发点。
2760所普通高校,各自的优势不同、定位不同,在此次学科专业设置改革上,每一个学校都需要回答两个基本问题:自己的优势是什么?责任是什么?
“双一流”启动后,很多普通高校都制定了各种全国甚至世界一流的奋斗目标。但遗憾的是,这些脱离实际的目标既不可能实现,社会也不需要那么多研究型大学。大多数高校都需要踏踏实实地面向经济社会发展的需要,面向新产业、新业态,培养实用合格的应用型人才。
同时,大量高校都从属于地方,必须立足当地的产业结构,在服务好地方发展的过程中,实现自己的发展。好高骛远、远离当地产业发展的高等教育,是无源之水、无本之木。
当然,这一切最后都要立足于自身优势,无论在中央还是地方,高校都要思考,在快速变革的社会发展中,你的职责是什么?能干什么?适合干什么?擅长干什么?
因此,别人撤销的专业,恰恰可能是你需要开设的,别人开设的,恰恰是你不宜开设的。比如,那些水平位居全国前列的综合性大学,理应多承担一些开设基础学科的责任,而不能完全以就业为导向。同样,如果当地产业发展有需要,别人都在撤销的专业,恰恰就是你要开设的。在本科不宜开设的专业,并不意味着研究生不宜开设。总之,都需要根据自己的定位做出恰当的安排。
清华大学在这方面做了比较好的示范。比如公共事业管理专业,清华大学只招收研究生,不招收本科生。一个缺乏人生基本历练的18岁的年轻人显然不适合学习公共管理,而应该在具备一定人生历练后,在研究生阶段培养。前两年,清华停止了新闻传播与会计的本科招生,但在硕士阶段增加了招生计划,清晰地表明了清华在这些人才培养上区别化的定位:复合型的新闻人才、财会人才。
不过,学科专业设置是高校人才培养的基础与核心,目前的改革也只是一个开始,最后还是需要通过创新培养模式来实现,最后成为一个实实在在的人才培养模式的改革,而非简单的名称改变。
日前一些人士提出“工科理科化”的问题,本质上就是我们的培养模式出现了问题而非学科专业设置,相关专业人才培养脱离行业实际与需要,孩子们连动手的机会都没有。
此次学科专业改革,也明确提出各方联动的问题,尤其是和行业联动的问题,目的也是把这种学科专业设置的改革落到实处,落实到培养上。教育部目前在力推的省部共建,在某种程度上就是汲取了50年代开始的部委办学的优势。因此,我们要坚决反对把学科专业设置改革只是停留在学科专业的名字的变化上,“新瓶装旧酒”,在老路上狂奔。比如当下流行的把老专业改个名字,加上人工智能,或者是数字之类,但基本课程还是老的那一套,这就背离了改革的初衷。
填报志愿是头等大事,这联系着孩子今后一生所从事的职业选择,面对五花八门的专业类目,考生和家长往往觉得无从下手,那么,通过2023年新设和撤销的专业我们或许可以看出地方未来就业新方向。
